De integraal van
f (x) = (1 − a2 cos2 x)1/2
Trefwoorden/keywords: integraal/integral, integreren/integrate, f (x) = (1 − a2 cos2 x)1/2

De grafiek van f (x) = (1 − a2 cos2 x)1/2 voor a2 = 0.1 (de rode lijn),
a2 = 0.5 (de groene lijn) en a2 = 0.9 (de blauwe lijn)

De grafiek van F (x) voor a2 = 0.1 (de rode lijn), a2 = 0.5 (de groene lijn)
en a2 = 0.9 (de blauwe lijn), c = 0
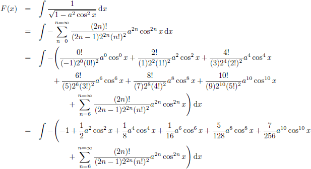
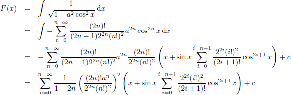
In de tabel met Taylor-reeksen vinden we:

De grafiek van F (x) voor a2 = 0.1 (de rode lijn),
a2 = 0.5 (de groene lijn) en a2 = 0.9 (de blauwe lijn), c = 0,
10 termen meegenomen
| Elliptische integralen | Eerste soort | Tweede soort | Derde soort (vereenvoudigde vorm) |
| Standaardvorm | ![]() Toon uitwerking |
![]() Toon uitwerking |
![]() Toon uitwerking |
| Compleet | ![]() Toon uitwerking |
![]() Toon uitwerking |
![]() Toon uitwerking |
| Complementair | ![]() Toon uitwerking |
![]() Toon uitwerking (= deze pagina) |
![]() Toon uitwerking |
| Complementair én compleet |
![]() Toon uitwerking |
![]() Toon uitwerking |
![]() Toon uitwerking |












Naar de volgende integraal: de integraal van
Naar de vorige integraal: de integraal van
Tabel met integralen
Tabel met afgeleiden
Tabel met Taylor-reeksen
Differentiëren
Integreren
De integraal van
De integraal van
De integraal van
De integraal van
De integralen van
De integralen van
Vectoren, vraagstuk 30
Vectoren, vraagstuk 75
Alle symmetrieën van de Riemann-tensor
De Taylor-reeks van
De Taylor-reeksen van
Vind de nulpunten van f (x) = ax − xa
De gammafunctie
Holomorfie van de functie
Relativiteitstheorie rekenkundig, hoofdstuk 8: rekenvoorbeelden
Het tekenen van een wereldlijn
De ART-vergelijkingen in componenten van de metrische tensor
De integraal van
De Witte Dag
De integraal van
De cycloïde
De minimale straal van een holle bol
Een planeettijdreismachine
De integralen van
Gravitationele rood-/blauwverschuiving
Getijdenkrachten
Zijn wij vroeg of laat?
Overzichtspagina wiskunde
Overzichtspagina natuurkunde
Overzichtspagina filosofie
Doneer enkele euro’s
Wetenschappelijke boeken te koop
Lezingen