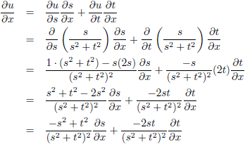
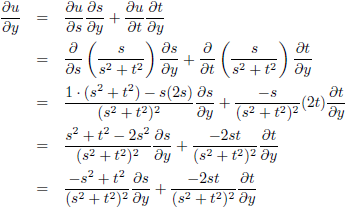
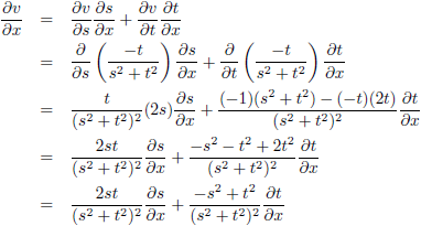
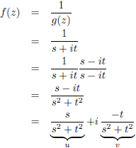
Holomorfie van de functie
f (z) = 1/g (z)



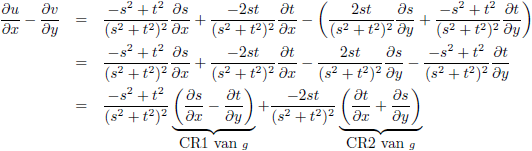
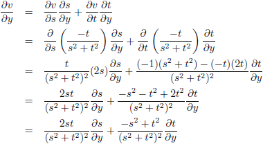
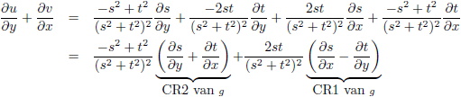
De Cauchy-Riemann-vergelijkingen luiden (die ik hierna aanduid met CR1 en CR2):




De Cauchy-Riemann-vergelijkingen luiden (die ik hierna aanduid met CR1 en CR2):


