De minimale straal van een holle bol
Wat is de minimale straal die een holle bol kan hebben, zodat de bol nog net niet implodeert
(en instort tot een
zwart gat)?
Ga uit van een perfect homogene ideale holle bol.
Om te beginnen breng ik de
Schwarzschild-straal
in herinnering, de
horizon
van een
zwart gat:
Er is een holle bol die zichzelf moet ‘dragen’ om te voorkomen dat ie instort.

Opengewerkte afbeelding van de helft van de holle bol
De mantel van de bol heeft een bepaalde dichtheid, en dan bedoelen we automatisch de massadichtheid.
Door met c
2 te vermenigvuldigen vormt zich daaruit de energiedichtheid van de mantel
(want
E = mc2):
De laterale druk in de mantel is:
De
dominante energievoorwaarde [Engels:
dominant energy condition = DEC] zegt dat
voor iedere
tijdachtige
vector
V moet gelden (T is de energietensor):
Dat was de technische definitie, en concreet betekent dit (in dit geval) dat de energiedichtheid
(maal c
2) minstens gelijk moet zijn aan de
absolute waarde
van de druk:
De druk moet positief zijn, want die moet immers voorkomen dat de bol implodeert.
Dus ik kan de
absolute waarde
weglaten uit vergelijking (5):
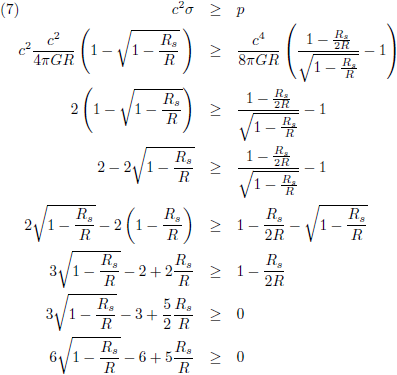
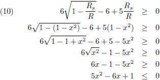
Vervolgens ga ik de vergelijkingen (2) en (3) invullen in vergelijking (6):
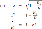
Ik stel:
Dit betekent voor de verhouding R
s/R:
Hiermee wordt vergelijking (7):
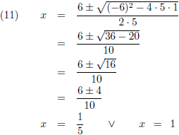
Dit los ik uiteraard op met de
abc-formule:
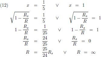
Nu ga ik x weer vervangen door R
s en R:
De rechter oplossing geeft de maximale straal van de bol.
Indien de straal oneindig wordt dan wordt de massa ook oneindig, en is er geen houden meer aan en stort de bol in.
De linker oplossing is waar ik naar op zoek ben, de minimale bolstraal, en die is
25/24 R
s ≈ 1.042 R
s.
Wanneer de bolstraal onder deze waarde komt dan is de bol niet meer te redden en is instorting onvermijdelijk.

Wanneer de bolstraal onder 25/24 R
s komt is implosie onvermijdelijk