De integralen van
f (x) = (ax2 + bx + c)1/2
Trefwoorden/keywords: integraal/integral, integreren/integrate, f (x) = (ax2 + bx + c)1/2

De grafiek van f (x) = (ax2 + bx + c)1/2 voor D = 1 (de rode lijn),
D = 5 (de oranje lijn), D = 9 (de groene lijn), D = 13 (de paarse lijn),
D = 17 (de blauwe lijn) en D = 21 (de grijze lijn)

De grafiek van f (x) = (ax2 + bx + c)1/2 voor a = 1 (de rode lijn),
a = 2 (de oranje lijn), a = 3 (de groene lijn), a = 4 (de paarse lijn),
a = 5 (de blauwe lijn) en a = 6 (de grijze lijn), D = 0

De grafiek van f (x) = (ax2 + bx + c)1/2 voor D = −3 (de rode lijn),
D = −7 (de oranje lijn), D = −11 (de groene lijn), D = −15 (de paarse lijn),
D = −19 (de blauwe lijn) en D = −23 (de grijze lijn)
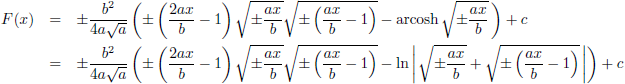
Integrand![]() |
Primitieve | |||
![]() |
![]() |
![]() ![]() |
![]() ![]() |
Toon uitwerking |
![]() ![]() ![]() |
![]() ![]() |
![]() ![]() |
Toon uitwerking | |
![]() ![]() ![]() |
![]() ![]() |
![]() ![]() |
Toon uitwerking | |
![]() ![]() ![]() |
![]() ![]() |
![]() ![]() |
Toon uitwerking | |
![]() |
![]() ![]() |
![]() ![]() |
Toon uitwerking | |
![]() ![]() ![]() |
![]() ![]() |
![]() ![]() |
Toon uitwerking | |
![]() |
![]() |
![]() ![]() |
![]() ![]() |
Toon uitwerking |
![]() |
Functie bestaat niet | |||
![]() |
![]() |
![]() ![]() |
![]() ![]() |
Toon uitwerking |
![]() ![]() ![]() |
![]() ![]() |
![]() ![]() |
Toon uitwerking | |
![]() |
Functie bestaat niet | |||
















































Naar de vorige tabel: de integralen van
Tabel met integralen
Differentiëren
Integreren
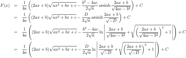
De integraal van
De integraal van
De integraal van
De integraal van
De integralen van
De integralen van
Vectoren, vraagstuk 26
Vectoren, vraagstuk 71
De covariante metrische tensor naar contravariant en vice versa
De Taylor-reeks van
Tabellen met Taylor-reeksen
Het touw om de Maan
De gammafunctie
Holomorfie van de functie
Relativiteitstheorie rekenkundig, hoofdstuk 4: de zaklamp
De vrouw en haar spiegel
Lineariteit van de Lorentz-transformaties
Het waarneembare universum
Fourier-analyse van het onzekerheidsprincipe van Heisenberg (I)
Hoe ziet de wereld er morgen uit?
De integraal van
De Witte Dag
De integraal van
De cycloïde
De minimale straal van een holle bol
Een planeettijdreismachine
De integralen van
Gravitationele rood-/blauwverschuiving
Getijdenkrachten
Zijn wij vroeg of laat?
Overzichtspagina wiskunde
Overzichtspagina natuurkunde
Overzichtspagina filosofie
Doneer enkele euro’s
Wetenschappelijke boeken te koop
Lezingen