De cycloïde
Een cirkel heeft als vergelijking:
Hierin is R de straal van de cirkel en het middelpunt M = (a, b).
Ik kan y als functie van x schrijven:
De positieve
wortel
is de helft van de cirkel die boven het middelpunt ligt, en de negatieve
wortel
is de helft van de cirkel die onder het middelpunt ligt.
Om volledig te zijn moet ik vergelijking (2) dus als volgt schrijven:
Voor de
booglengte
geldt:
Daarom ga ik nu eerst de
afgeleide
bepalen (ik ga de
booglengte
uitrekenen in het eerste kwadrant, dus ik ga uit van de positieve
wortel):
De
booglengte
wordt dan:
De oplossing van de
integraal
van 1/(a
2 − x
2)
1/2 zoek ik op in de
tabel met integralen.
Dat brengt ons bij dit resultaat:
Laat ik dit eens uitrekenen voor x = a tot x = a + R, dus een kwart boog van de cirkel,
het rechtsbovenkwart om precies te zijn:
Door dit met vier te vermenigvuldigen vind ik de totale omtrek:
Dit resultaat, de omtrek van een cirkel, is overbekend (toch?).
Nu plaats ik de cirkel zo dat de onderkant precies in de oorsprong ligt, en het middelpunt
ligt dan op (a, b) = (0, R).
Dus a = 0 en b = R:

De grafiek van f (x) = ± 1/(R
2 − x
2)
1/2 + R voor R = 1
Ik markeer het punt op de cirkel dat nu in de oorsprong ligt met een rode stip.

De grafiek van f (x) = ± 1/(R
2 − x
2)
1/2 + R voor R = 1,
de rode stip is een referentiepunt
Vervolgens ga ik de cirkel naar rechts rollen en ik ben geïnteresseerd in de beweging die de rode punt
gaat maken, de
rolkromme van de rode punt.
Wanneer de cirkel een stukje gerold is over een afstand ε dan is dit de situatie.
Ik geef het middelpunt M aan en de hoek φ waarover de cirkel gerold is.
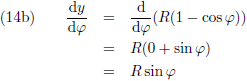
Er geldt:
Dit gebruik ik om x en y (van het referentiepunt S) te bepalen:
Met behulp van vergelijking (11) kom ik tenslotte bij het volgende:
Door φ te laten variëren van 0 tot 2π ontstaat de rolkromme die de rode punt volgt,
de
cycloïde, en daar ga ik uiteraard een grafiek van maken.

De grafiek van f (φ) = f (x (φ), y (φ)) voor R = 1 (de rode lijn),
R = 2 (de groene lijn) en R = 3 (de blauwe lijn)
Bij φ = 2π heeft de cirkel één volledige omwenteling gemaakt, maar ik kan natuurlijk
gewoon door blijven rollen.

De grafiek van f (φ) = f (x (φ), y (φ)), R = 1
Ik ga de
afgeleiden
bepalen van de cycloïde:

De grafiek van f
' (φ) = f
' (x
' (φ), y
' (φ))
voor R = 1 (de rode lijn),
R = 2 (de groene lijn) en R = 3 (de blauwe lijn)
Voor de
booglengte
geldt (ditmaal in
parametervorm):
Ik vul de vergelijkingen (14) in:
De oplossing van de
integraal
van (1 − cos x)
1/2 zoek ik op in de
tabel met integralen.
Dat brengt ons bij dit resultaat:
Dit ziet er uit als een kolossale puinhoop, en dat is het ook.
Maar er schijnt licht aan het eind van de tunnel, want ik wil de
booglengte
berekenen van één volledige boog van de cycloïde en dat betekent dat ik de
grenzen
φ = 0 en φ = 2π ga invullen:
Ik stel n = 2k zodat n altijd even is:
Om het rekenen een stuk eenvoudiger te maken reken ik de verhouding van een term ten opzichte van
de vorige term uit:
Dan kunnen we nu de computer aan het werk zetten en dan blijkt dat het deel tussen de haken in
vergelijking (19) precies acht oplevert!
Kleine kanttekening: het
convergeert
wel tergend langzaam.
| Aantal termen: | Resultaat: |
| 101 | 8.04772946533239835027 |
| 102 | 8.00497663575221353711 |
| 103 | 8.00049976569824331773 |
| 104 | 8.00004999765632324230 |
| 105 | 8.00000499997656257324 |
| 106 | 8.00000049999976562507 |
| 107 | 8.00000004999999765625 |
| 108 | 8.00000000499999997656 |
| 109 | 8.00000000049999999977 |
| 1010 | 8.00000000005000000000 |
 |  |
| k | 8 + (1/2)/k − (47/64)/k2
+ hogere orde termen |
 |  |
| ∞ | 8 |
De
booglengte
van één volledige boog is aldus:
Met behulp van de
afgeleiden,
de vergelijkingen (14), kan ik de extreme
raaklijnen
uitrekenen:
Ik kijk eerst waar de
afgeleide
nul is:
En ik kijk ook waar de
afgeleide
oneindig wordt:
Vergelijking (23) geeft een vertekend beeld, want voor φ = 0 (mod 2π) wordt de noemer van de
afgeleide
nul en loopt de
raaklijn
verticaal.
Er zijn dus horizontale
raaklijnen
(
maxima)
voor φ = π (mod 2π), en verticale
raaklijnen
voor φ = 0 (mod 2π).

De grafiek van dy/dx (φ)
De volgende vraag is: wat is de oppervlakte onder de cycloïde?
Dan moet ik gaan
integreren,
en ter voorbereiding daarop ga ik eerst de vergelijkingen (13) anders opschrijven:
Vergelijking (25b) vul ik in in vergelijking (25a):
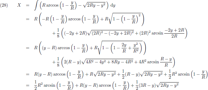
Normaal hebben we y als een functie van x, maar nu hebben we x als een functie van y.
Gelukkig is dat in dit geval geen probleem (zoals weldra zal blijken), en ga ik nu
integreren
naar y:
De oplossing van de
integraal
van arccos (ax + b) kun je elders vinden in de
tabel met integralen
en de oplossing van de
integraal
van (ax
2 + bx)
1/2 kun je ook vinden in de
tabel met integralen.
Dat brengt ons bij dit resultaat:
Ik heb
geïntegreerd
naar y en daarmee kan ik de oppervlakte van het gele gebied in het onderstaande plaatje uitrekenen.
Ik ga de
grenzen
y = 0 en y = 2R invullen in de oplossing volgens vergelijking (28):
Ik kan relatief simpel de oppervlakte van het groene gebied in het onderstaande plaatje uitrekenen.
Uiteindelijk wil ik de oppervlakte onder de cycloïde weten, het blauwe gebied in het onderstaande plaatje.
Het blauwe gebied is het groene gebied minus het gele gebied:
Tenslotte moet ik nog met twee vermenigvuldigen voor de totale oppervlakte onder één boog van de cycloïde:
Ik bepaal ook de
tweede afgeleiden:

De grafiek van f
'' (x
'' (t), y
'' (t)) voor a = 1 (de rode lijn),
a = 2 (de groene lijn) en a = 3 (de blauwe lijn)
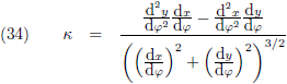
Dit stelt mij in staat om de
kromming
te bepalen:
Alle ingrediënten heb ik beschikbaar en kan ik zo invullen:
De
kromtestraal
is de reciproke van de
kromming
en is per definitie positief:
En die wordt dan:

De grafiek van κ (x) voor a = 1 (de rode lijn),
a = 2 (de groene lijn) en a = 3 (de blauwe lijn)

De grafiek van ρ (x) voor a = 1 (de rode lijn),
a = 2 (de groene lijn) en a = 3 (de blauwe lijn)
Alles samengevat: