De integraal van
f (x) = sinn (ax)
(n = oneven)
Trefwoorden/keywords: integraal/integral, integreren/integrate, f (x) = sinn (ax) (n = odd)

De grafiek van f (x) = sin
n (ax) voor n = −1 (de rode lijn),
n = −3 (de oranje lijn), n = −5 (de groene lijn),
n = −7 (de paarse lijn) en n = −9 (de blauwe lijn), a = 1
Voor het
integreren
van deze functie ga ik gebruik maken van
partieel integreren:
Daarnaast dienen we de
kettingregel van het
differentiëren voor ogen te hebben:
De
integraal wordt dan:
Nu zitten we nog steeds met een
integraal
opgescheept, maar toch helpt dit ons verder.
Laten we eens n = −3 invullen:
De oplossing van de
integraal
van 1/sin x kun je elders vinden in de
tabel met integralen.
Dat brengt ons bij dit tussenresultaat:
Vervolgens ga ik n = −5 invullen en direct het resultaat van n = −3 gebruiken:
En dit resultaat gebruik ik bij n = −7:
En tenslotte n = −9:
De uitdaging is uiteraard om hierin de regelmaat te vinden en op te schrijven.
Dat doe ik voor n = −9:
Het dubbele faculteit-uitroepteken betekent dat alleen de oneven of even termen met elkaar vermenigvuldigd dienen te worden:
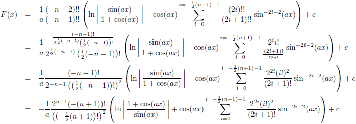
We kunnen het resultaat nog compacter schrijven als volgt:
Ik ga die
dubbele faculteiten omschrijven
naar een enkele
faculteit:

De grafiek van F (x) voor n = −1 (de rode lijn),
n = −3 (de oranje lijn), n = −5 (de groene lijn),
n = −7 (de paarse lijn) en n = −9 (de blauwe lijn), a = 1, c = 0