De integraal van
f (x) = (ax2 + bx)1/2
Trefwoorden/keywords: integraal/integral, integreren/integrate, f (x) = (ax2 + bx)1/2

De grafiek van f (x) = (ax
2 + bx)
1/2 voor a = 1 (de rode lijn),
a = 2 (de groene lijn) en a = 3 (de blauwe lijn), b = 4
Ik ga allereerst de
integraal
anders opschrijven:
Ik stel:
De
integraal
wordt dan:
De oplossing van de
integraal
van 1/cos
5 x kun je elders vinden in de
tabel met integralen
en de oplossing van de
integraal
van 1/cos
3 x kun je ook vinden in de
tabel met integralen.
Dat brengt ons bij dit tussenresultaat:
De
sinus
en de
cosinus
kan ik schrijven als een
functie van de tangens:
Hiermee kan ik de hierboven gevonden
primitieve functie
ook als volgt opschrijven:
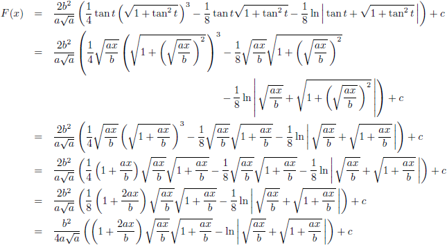
Nu moet t uiteraard weer vervangen worden door x:
Ter controle ga ik het resultaat
differentiëren:
Tot slot wil ik nog opmerken dat je de
area sinus hyperbolicus
kunt
omschrijven
naar een
natuurlijke logaritme,
en vice versa, als volgt:
De oplossing van deze
integraal
kan ik daarom ook als volgt opschrijven:

De grafiek van F (x) voor a = 1 (de rode lijn),
a = 2 (de groene lijn) en a = 3 (de blauwe lijn), b = 4, c = 0
Ik ben de linkerhelft van de grafiek kwijt!
Dat komt omdat ik x vervangen heb door tan
2 en daardoor raken de plussen en minnen in het ongerede.
Door op de juiste plekken mintekens toe te voegen ontstaat de volgende grafiek.

De grafiek van F (x) voor a = 1 (de rode lijn),
a = 2 (de groene lijn) en a = 3 (de blauwe lijn), b = 4, c = 0
Door de beide voorgaande grafieken handmatig samen te voegen kom ik tot het eindantwoord:

De grafiek van F (x) voor a = 1 (de rode lijn),
a = 2 (de groene lijn) en a = 3 (de blauwe lijn), b = 4, c = 0