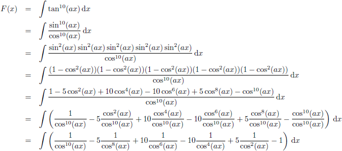
De integraal van
f (x) = tan10 (ax)
Trefwoorden/keywords: integraal/integral, integreren/integrate, f (x) = tan10 (ax)

De grafiek van f (x) = tan
10 (ax) voor a = 1 (de rode lijn),
a = 2 (de groene lijn) en a = 3 (de blauwe lijn)
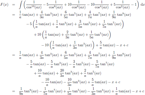
De
integraal wordt dan:
De oplossing van de
integraal
van 1/cos
2 x kun je elders vinden in de
tabel met integralen,
de oplossing van de
integraal
van 1/cos
4 x kun je elders vinden in de
tabel met integralen,
de oplossing van de
integraal
van 1/cos
6 x kun je elders vinden in de
tabel met integralen,
de oplossing van de
integraal
van 1/cos
8 x kun je elders vinden in de
tabel met integralen
en de oplossing van de
integraal
van 1/cos
10 x kun je elders vinden in de
tabel met integralen.
Dat brengt ons bij dit eindresultaat:
Ter controle ga ik het resultaat
differentiëren:

De grafiek van F (x) voor a = 1 (de rode lijn),
a = 2 (de groene lijn) en a = 3 (de blauwe lijn), c = 0