De integraal van
f (x) = x4/(a2 + x2)5/2
Trefwoorden/keywords: integraal/integral, integreren/integrate, f (x) = x4/(a2 + x2)5/2

De grafiek van f (x) = x
4/(a
2 + x
2)
5/2 voor a = 1 (de rode lijn),
a = 2 (de groene lijn) en a = 3 (de blauwe lijn)
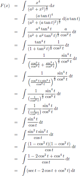
Voor het
integreren van deze functie maak ik gebruik van
goniometrische substitutie door tangens of cotangens:
De
integraal wordt dan:
De oplossing van de
integraal
van sec x kun je elders vinden in de
tabel met integralen
en de oplossing van de
integraal
van cos
3 x kun je ook vinden in de
tabel met integralen.
Dat brengt ons bij dit tussenresultaat:
De
sinus en de
cosinus kan ik schrijven als een
functie van de tangens:
Hiermee kan ik de hierboven gevonden
primitieve functie
ook als volgt opschrijven:
Nu moet t uiteraard weer vervangen worden door x:
Ter controle ga ik het resultaat
differentiëren:
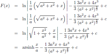
Tot slot wil ik nog opmerken dat je de
area sinus hyperbolicus
kunt
omschrijven naar een
natuurlijke logaritme,
en vice versa, als volgt:
De oplossing van deze
integraal
kan ik daarom ook als volgt opschrijven:

De grafiek van F (x) voor a = 1 (de rode lijn),
a = 2 (de groene lijn) en a = 3 (de blauwe lijn), c = 0