Holomorfie van de functie
f (z) = cos z
Gegeven de functie:
Het
reële deel van de functie noem ik u en het
imaginaire deel v (waarbij ik gebruik
maak van de
som-/verschilformules
uit de
goniometrie):

De grafiek van f (z)

De grafiek van |f (z)|
Vervolgens ga ik alle
partiële afgeleiden
bepalen:
De Cauchy-Riemann-vergelijkingen
luiden:
Nu is het een kwestie van invullen:
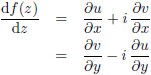
De
complexe afgeleide is:
Ook dit is een kwestie van invullen:

De grafiek van df (z)/dz

De grafiek van |df (z)/dz|
Aan de
Cauchy-Riemann-vergelijkingen
wordt voldaan en zowel de functie als de
afgeleide
hebben geen
polen.
De functie is daarom overal
holomorf.