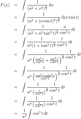
De integraal van
f (x) = 1/(a2 + x2)5/2
Trefwoorden/keywords: integraal/integral, integreren/integrate, f (x) = 1/(a2 + x2)5/2

De grafiek van f (x) = 1/(a
2 + x
2)
5/2 voor a = 1 (de rode lijn),
a = 2 (de groene lijn) en a = 3 (de blauwe lijn)
Voor het
integreren van deze functie maak ik gebruik van
goniometrische substitutie door tangens of cotangens:
De
integraal wordt dan:
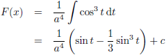
De oplossing van de
integraal
van cos
3 x kun je elders vinden in de
tabel met integralen.
Dat brengt ons bij dit tussenresultaat:
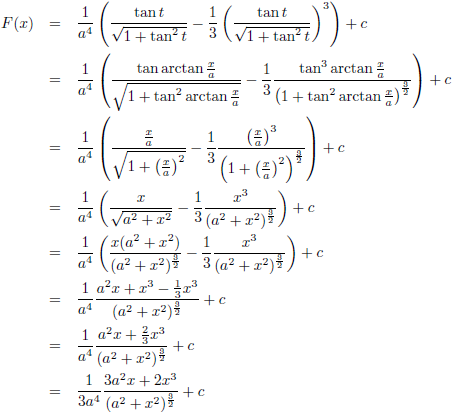
De
sinus kan ik schrijven als een
functie van de tangens:
Hiermee kan ik de hierboven gevonden
primitieve functie
ook als volgt opschrijven:
Nu moet t uiteraard weer vervangen worden door x:
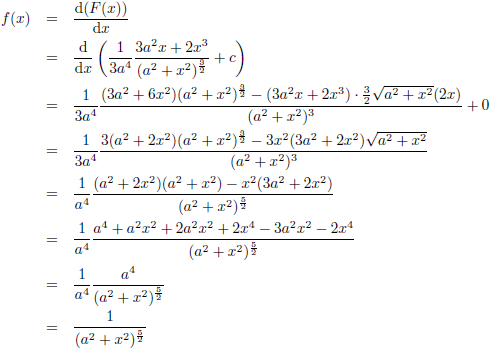
Ter controle ga ik het resultaat
differentiëren:

De grafiek van F (x) voor a = 1 (de rode lijn),
a = 2 (de groene lijn) en a = 3 (de blauwe lijn), c = 0