De integraal van
f (x) = (ax2 + bx + c)1/2
Trefwoorden/keywords: integraal/integral, integreren/integrate, f (x) = (ax2 + bx + c)1/2

De grafiek van f (x) = (ax
2 + bx + c)
1/2 voor a = 1, b = 3, c = 3 (de rode lijn),
a = 2, b = 6, c = 6 (de groene lijn) en a = 4, b = 9, c = 12 (de blauwe lijn)
Bij het
integreren
van deze functie dienen we de
kettingregel
van het
differentiëren
voor ogen te hebben:
De
discriminant
is kleiner dan nul en er zijn daarom twee
complexe
nulpunten p en q die we nu eerst berekenen met de
abc-formule:
Hierin is i de
imaginaire eenheid:
Hiermee wordt de
integraal:
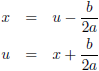
Ik stel:
De
integraal
wordt dan:
De oplossing van de
integraal
van (x
2 + a
2)
1/2 kun je elders vinden in de
tabel met integralen.
Dat brengt ons bij dit tussenresultaat:
Nu moet u uiteraard weer vervangen worden door x:
Ter controle ga ik het resultaat
differentiëren:
Tot slot wil ik nog opmerken dat je de
area sinus hyperbolicus
kunt
omschrijven
naar een
natuurlijke logaritme,
en vice versa, als volgt:
De oplossing van deze
integraal
kan ik daarom ook als volgt opschrijven:
Nu moet er nog wel iets gebeuren want de
logaritme
van een negatief getal kan niet.
De oplossing is simpel, ik neem de
absolute waarde:

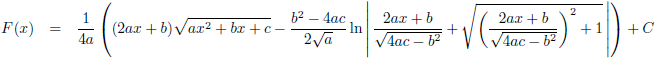
De grafiek van F (x) voor a = 1, b = 3, c = 3 (de rode lijn),
a = 2, b = 6, c = 6 (de groene lijn) en a = 4, b = 9, c = 12 (de blauwe lijn), C = 0