De integraal van
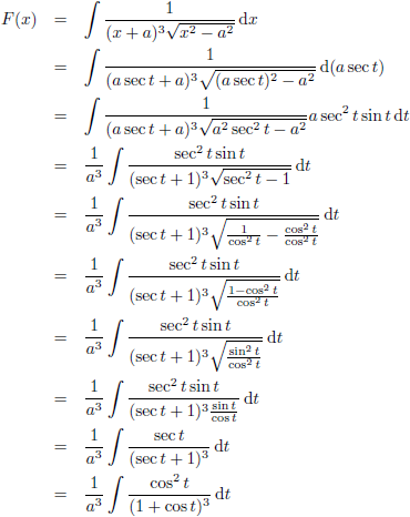
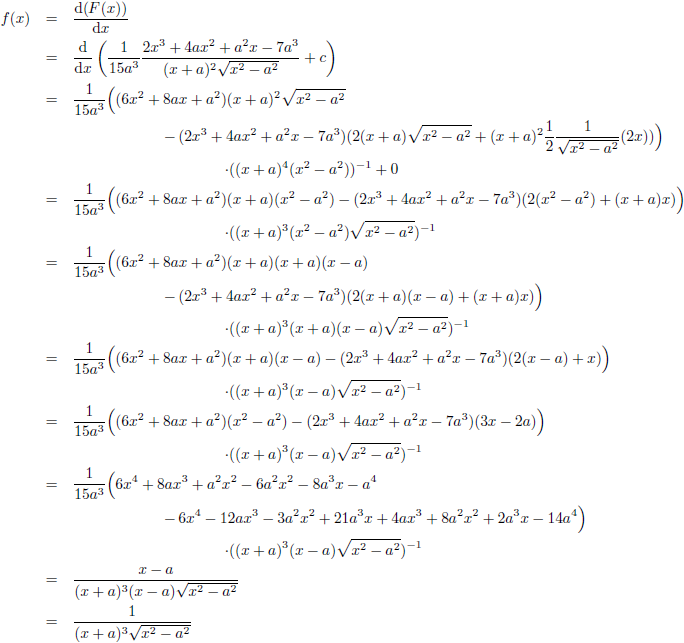
f (x) = 1/((x + a)3 (x2 − a2))1/2)
Trefwoorden/keywords: integraal/integral, integreren/integrate, f (x) = 1/((x + a)3 (x2 − a2))1/2)

De grafiek van f (x) = 1/((x + a)3 (x2 − a2))1/2) voor a = 1 (de rode lijn),
a = 2 (de groene lijn) en a = 3 (de blauwe lijn)




De grafiek van F (x) voor a = 1 (de rode lijn),
a = 2 (de groene lijn) en a = 3 (de blauwe lijn), c = 0
Naar de volgende integraal: de integraal van
Naar de vorige integraal: de integraal van
Tabel met integralen
Tabel met afgeleiden
Tabel met Taylor-reeksen
Differentiëren
Integreren
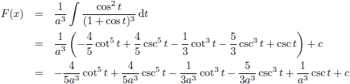
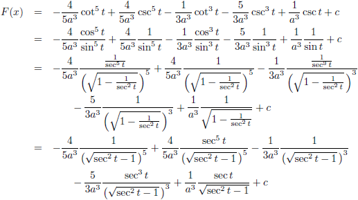
De integraal van
De integraal van
De integraal van
De integraal van
De integralen van
De integralen van
Vectoren, vraagstuk 27
Vectoren, vraagstuk 72
De diagonale metrische tensor, covariant en contravariant
De Taylor-reeks van
De Taylor-reeksen van
Het probleem van de gevangenen
De gammafunctie
Holomorfie van de functie
Relativiteitstheorie rekenkundig, hoofdstuk 5: versnelling
Lijnen trekken door negen punten
Directe snelheid en reciproke snelheid
De integraal van
De Witte Dag
De integraal van
De cycloïde
De minimale straal van een holle bol
Een planeettijdreismachine
De integralen van
Gravitationele rood-/blauwverschuiving
Getijdenkrachten
Zijn wij vroeg of laat?
Overzichtspagina wiskunde
Overzichtspagina natuurkunde
Overzichtspagina filosofie
Doneer enkele euro’s
Wetenschappelijke boeken te koop
Lezingen