De integraal van
f (x) = cosn (ax)
(n = oneven)
Trefwoorden/keywords: integraal/integral, integreren/integrate, f (x) = cosn (ax) (n = odd)

De grafiek van f (x) = cosn (ax) voor n = 1 (de rode lijn),
n = 3 (de oranje lijn), n = 5 (de groene lijn),
n = 7 (de paarse lijn) en n = 9 (de blauwe lijn), a = 1

De grafiek van f (x) = cosn (ax) voor n = 11 (de rode lijn),
n = 31 (de oranje lijn), n = 51 (de groene lijn),
n = 71 (de paarse lijn) en n = 91 (de blauwe lijn), a = 1
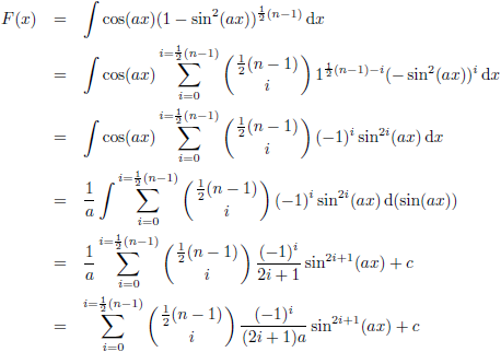
Vervolgens pak ik het binomium van Newton erbij:

De grafiek van F (x) voor n = 1 (de rode lijn),
n = 3 (de oranje lijn), n = 5 (de groene lijn),
n = 7 (de paarse lijn) en n = 9 (de blauwe lijn), a = 1, c = 0

De grafiek van F (x) voor n = 11 (de rode lijn),
n = 31 (de oranje lijn), n = 51 (de groene lijn),
n = 71 (de paarse lijn) en n = 91 (de blauwe lijn), a = 1, c = 0

Naar de volgende integraal: de integraal van
Naar de vorige integraal: de integraal van
Tabel met integralen
Tabel met afgeleiden
Tabel met Taylor-reeksen
Differentiëren
Integreren
De integraal van
De integraal van
De integraal van
De integraal van
De integralen van
De integralen van
Vectoren, vraagstuk 20
Vectoren, vraagstuk 65
Vraagstukken xref voor de UT
De Taylor-reeks van
De Taylor-reeks van
Boekhouden
Priemgetallen
Holomorfie van de functie
Relativiteitstheorie basic, hoofdstuk 7: kromming
Fouten in het oorspronkelijke artikel over de precessie van Mercurius
De transformatievergelijking voor versnelling
De integraal van
De Witte Dag
De integraal van
De cycloïde
De minimale straal van een holle bol
Een planeettijdreismachine
De integralen van
Gravitationele rood-/blauwverschuiving
Getijdenkrachten
Zijn wij vroeg of laat?
Overzichtspagina wiskunde
Overzichtspagina natuurkunde
Overzichtspagina filosofie
Doneer enkele euro’s
Wetenschappelijke boeken te koop
Lezingen