De Taylor-reeks van
f (x) = bx
Trefwoorden/keywords: Taylor-reeks/Taylor series, f (x) = bx

De grafiek van f (x) = 2
x
Om te beginnen ga ik eerst vijf
afgeleiden bepalen:
Vervolgens ga ik bij de functie en zijn
afgeleiden
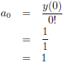
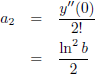
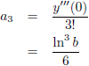
de y-waarde bepalen voor x = 0:
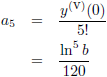
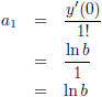
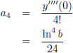
De polynoom-coëfficiënten worden dan:
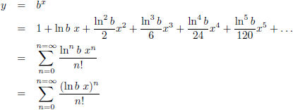
De regelmaat hierin is:
Hetgeen ons brengt bij deze reeks:
Het is belangrijk om te kijken naar de
convergentie
van deze reeks, want indien de reeks divergeert dan hebben we er niets aan.
De belangrijkste voorwaarde voor
convergentie
is indien de termen uitdoven als het ware, dus als een term voor grote waarden van n kleiner is dan de
voorgaande term (in
absolute waarden
gesproken uiteraard):
Voor deze reeks ziet dat er als volgt uit:
Deze reeks
convergeert dus altijd, maar daar hoort
wel een kanttekening bij.
Het uitdoven van de termen begint namelijk pas wanneer n + 1 > | ln b x |, oftewel n > | ln b x | − 1.
Voor grote waarden van | x | moeten er dus heel wat termen meegenomen worden.

De grafiek van f (x) met daaroverheen de Taylor-reeks met 10 termen (de oranje lijn),
20 termen (de paarse lijn), 50 termen (de grijze lijn) en 100 termen (de blauwe lijn)