De integraal van
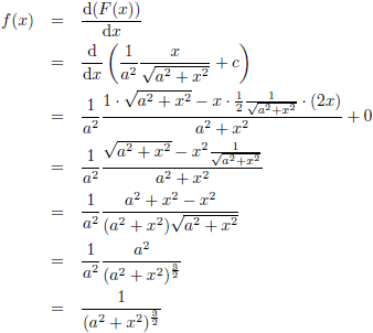
f (x) = 1/(a2 + x2)3/2
Trefwoorden/keywords: integraal/integral, integreren/integrate, f (x) = 1/(a2 + x2)3/2

De grafiek van f (x) = 1/(a2 + x2)3/2 voor a = 1 (de rode lijn),
a = 2 (de groene lijn) en a = 3 (de blauwe lijn)



De grafiek van F (x) voor a = 1 (de rode lijn),
a = 2 (de groene lijn) en a = 3 (de blauwe lijn), c = 0
Naar de volgende integraal: de integraal van
Naar de vorige integraal: de integraal van
Tabel met integralen
Tabel met afgeleiden
Tabel met Taylor-reeksen
Differentiëren
Integreren
De integraal van
De integraal van
De integraal van
De contourintegraal van
De integralen van
De integralen van
Vectoren, vraagstuk 4
Vectoren, vraagstuk 49
Vectoren, vraagstuk 94
De Taylor-reeks van
Een reeks afsplitsen van een functie
Hyper-Catalan-getallen
Holomorfie van de functie
Relativiteitstheorie rekenkundig, hoofdstuk 1: snelheden
De ontsnappingssnelheid
Lorentz-transformaties zonder invariantie van de lichtsnelheid
Een andere manier van leven
Afbuiging van een lichtstraal (2e orde benadering)
Afbuiging van een lichtstraal (1e orde benadering)
Bewerkingen met reeksen
De Taylor-reeksen van
De integralen van
De integralen van
De integralen van
De massa van de atmosfeer
Overzichtspagina wiskunde
Overzichtspagina natuurkunde
Overzichtspagina filosofie
Doneer enkele euro’s
Wetenschappelijke boeken te koop
Lezingen