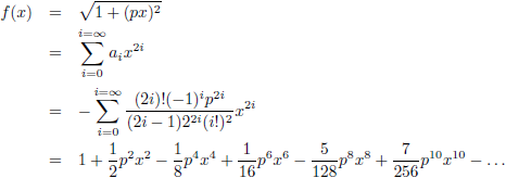
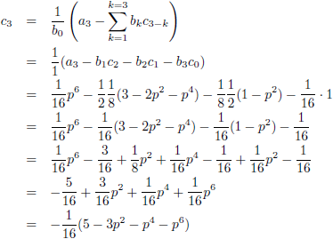
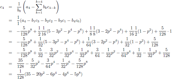
Een reeks afsplitsen van
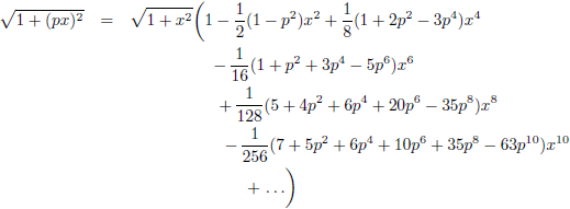
f (x) = (1 + (px)2)1/2

De grafiek van f (x) = (1 + (px)2)1/2 voor p = 0.5 (de rode lijn),
p = 1 (de groene lijn) en p = 2 (de blauwe lijn)
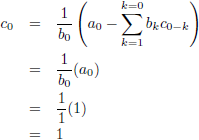
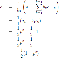
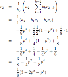
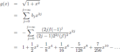
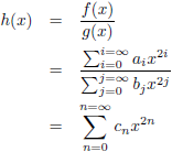
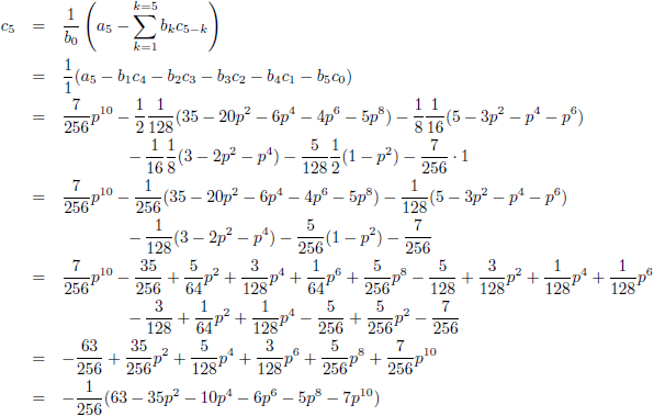
In de tabel met Taylor-reeksen vinden we:






| Index | ai | bj | cn |
| 0 | ![]() | ![]() |
![]() |
| 1 | ![]() | ![]() |
![]() |
| 2 | ![]() | ![]() |
![]() |
| 3 | ![]() | ![]() |
![]() |
| 4 | ![]() | ![]() |
![]() |
| 5 | ![]() | ![]() |
![]() |
![]() | ![]() |
![]() | ![]() |
| m | ![]() | ![]() |
![]() |

De grafiek van f (x) (de rode lijn) met daaroverheen de
Taylor-reeks met 2 termen (de oranje lijn), 5 termen (de groene lijn),
10 termen (de paarse lijn), 20 termen (de donkerblauwe lijn),
50 termen (de grijze lijn) en 100 termen (de lichtblauwe lijn), p = 0.5

De grafiek van f (x) (de rode lijn) met daaroverheen de
Taylor-reeks met 2 termen (de oranje lijn), 5 termen (de groene lijn),
10 termen (de paarse lijn), 20 termen (de donkerblauwe lijn),
50 termen (de grijze lijn) en 100 termen (de lichtblauwe lijn), p = 1

De grafiek van f (x) (de rode lijn) met daaroverheen de
Taylor-reeks met 2 termen (de oranje lijn), 5 termen (de groene lijn),
10 termen (de paarse lijn), 20 termen (de donkerblauwe lijn),
50 termen (de grijze lijn) en 100 termen (de lichtblauwe lijn), p = 2























Naar de volgende functie: een reeks afsplitsen van
Naar de vorige functie: een reeks afsplitsen van
Tabel met Taylor-reeksen
Tabel met integralen
Tabel met afgeleiden
De integraal van
De integraal van
De integraal van
De integraal van
De integraal van
De integralen van
De integralen van
Vectoren, vraagstuk 19
Vectoren, vraagstuk 64
Vraagstukken xref voor de UT
De Taylor-reeks van
De Taylor-reeks van
Fourier-analyse
De functie f (x) = ax − xa
Holomorfie van de functie
Relativiteitstheorie basic, hoofdstuk 6: voelen
Uitleg artikel precessie van Mercurius: paragraaf 2
De transformatievergelijkingen voor krachten
Afbuiging van een lichtstraal volgens Einstein
De integraal van
De Witte Dag
De integraal van
De cycloïde
De minimale straal van een holle bol
Een planeettijdreismachine
De integralen van
Gravitationele rood-/blauwverschuiving
Getijdenkrachten
Zijn wij vroeg of laat?
Overzichtspagina wiskunde
Overzichtspagina natuurkunde
Overzichtspagina filosofie
Doneer enkele euro’s
Wetenschappelijke boeken te koop
Lezingen