De zwaartekracht van een homogene oblate ster

Bereken de zwaartekracht die een homogene afgeplatte ster uitoefent op een andere massa (die voor te stellen is als een puntmassa).
Afgeplatte ster

Om dit vraagstuk wat gemakkelijker tot een goed einde te brengen maak ik een kleine omweg. Ik ga gebruik maken van de potentiaal van het zwaartekrachtveld. De potentiaalfunctie is de integraal van het zwaartekrachtveld, en omgekeerd is het zwaartekrachtveld de afgeleide van de potentiaalfunctie.

Newton
Newton

De zwaartekracht die twee massa’s op elkaar uitoefenen wordt beschreven door de gravitatiewet van Newton:

Vergelijking

De integraal van het veld is de potentiaalfunctie:
Vergelijking
Ik ga nu eerst de potentiaalfunctie bepalen en daarna pas de zwaartekracht die de ster uitoefent (het voordeel van deze werkwijze zal later blijken). Daartoe kiezen we een bepaald x-y-z-assenstelsel en ik plaats het zwaartepunt van de ster in de oorsprong van dit assenstelsel. Aan de evenaar heeft de ster een grotere straal dan aan de beide polen, want de ster is immers afgeplat. De straal aan de evenaar noem ik a en de straal aan de beide polen noem ik b. Wanneer ik een horizontaal schijfje uit de ster haal dan heeft dat de vorm van een cirkel, maar wanneer ik een verticaal schijfje uit de ster haal dan heeft dat de vorm van een ellips. Voor de excentriciteit van die ellips kan ik schrijven:
Vergelijking
En de maximale straal is dan:
Vergelijking
Bij de evenaar is θ = 0 en is de maximale straal:
Vergelijking
Bij de polen is θ = +π/2 of θ = −π/2 en vind ik voor de maximale straal:
Vergelijking
De ster, met massa m1, oefent zwaartekracht uit op een andere massa, m2, die zich op coördinaten (x, y, z) bevindt. De zwaartepunten van m1 en m2 bevinden zich op een afstand R van elkaar. En omdat het zwaartepunt van m1 zich in de oorsprong bevindt geldt voor R:
Vergelijking
Ik ga een infinitesimaal stukje massa van de ster beschouwen, dm1, en dat bevindt zich op de coördinaten (ξ, η, ζ) op een afstand r van de oorsprong. Voor r geldt dus:
Vergelijking
Ik ga ervanuit dat r veel kleiner is dan R (r is maximaal de straal van de ster en R is de afstand tot de andere massa, dus dit is een meer dan redelijke aanname). De afstand van het stukje massa dm1 tot (het zwaartepunt van) m2 noem ik s. Voor s geldt dus:
Vergelijking
Uit de vergelijkingen (2) en (9) volgt dat ik voor de potentiaalfunctie van het stukje massa dm1 kan schrijven:
Vergelijking
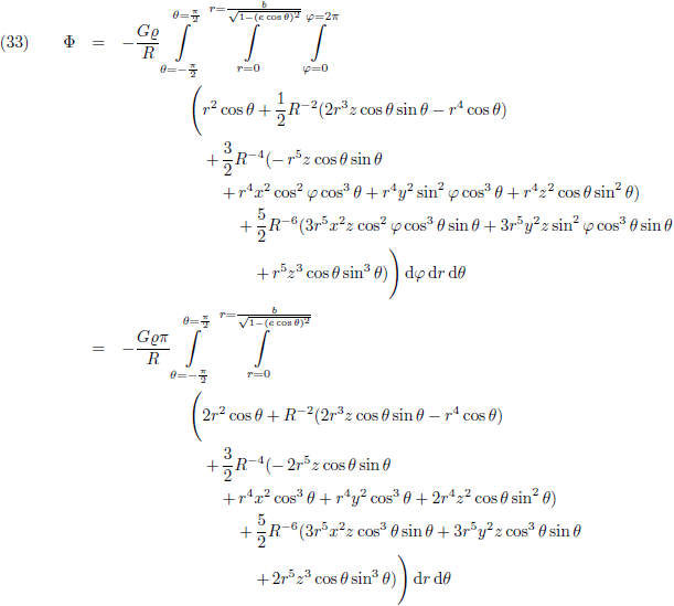
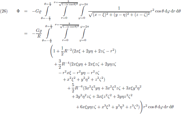
De potentiaalfunctie van de totale ster wordt dan:
Vergelijking
We hebben te maken met een homogene ster en dan kan ik voor de dichtheid schrijven (hierin is V het totale volume van de ster):
Vergelijking
Waaruit volgt:
Vergelijking
Door te differentiëren ontstaat:
Vergelijking
En dit stop ik in vergelijking (11):
Vergelijking
Omdat we te maken hebben met een afgeplatte bol, een sferoïde, (of heel netjes gezegd: een oblate sferoïde) ligt het voor de hand om over te gaan naar bolcoördinaten. Voor een stukje dV geldt dan:
Vergelijking
Waarmee vergelijking (15) wordt:
Vergelijking
De hoek φ is de hoek die verandert wanneer ik een (hypothetische) wandeling maak over de evenaar en de hoek θ is de hoek die verandert wanneer ik een (wederom hypothetische) wandeling maak van de ene pool naar de andere. Ik kan daarom de volgende integratiegrenzen al invullen:
Vergelijking
De integratiegrenzen van r liggen iets gecompliceerder. De straal r loopt van nul tot rmax (zie vergelijking (4)):
Vergelijking
Ik ga de term 1/s, de breuk in de integraal hierboven, even apart onder handen nemen en om te beginnen werk ik de haakjes weg:
Vergelijking
Met behulp van de vergelijkingen (7) en (8) wordt dit:
Vergelijking
Taylor
Taylor

De volgende stap is om dit te ontwikkelen in een Taylor-reeks. In de tabel met Taylor-reeksen vinden we:

Vergelijking

Hiermee komt vergelijking (21) er als volgt uit te zien:
Vergelijking
Ik dien mij hier even te bezinnen, want het aantal termen dat ik meepak is bepalend voor de nauwkeurigheid die ik kan bereiken. De verhouding rmax/R is voor de Zon en de planeet die daar het dichtst bij staat, Mercurius, ongeveer 7 ∙ 105/58 ∙ 106 = 0.012. Indien ik alle termen tot en met de derde orde meeneem, en alle hogere orde termen verwaarloos, dan zit ik maximaal ongeveer 0.0124 verkeerd en dat is ruim minder dan 10−7. Dat lijkt me ruimschoots voldoende.

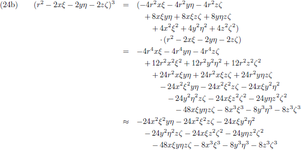
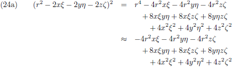
Nu komt de boeiende taak om de haakjes weg te werken. Ik doe dat apart voor alle tellers, en combinaties van r-ξ-η-ζ neem ik dus mee tot en met de derde orde:
Vergelijking
Vergelijking
Hiermee gaat vergelijking (23) over in deze puinhoop:
Vergelijking
En dit stop ik weer terug in de integraal van vergelijking (19):
Vergelijking
Nu moet ik ξ, η en ζ nog uitdrukken in r, φ en θ. We werken in bolcoördinaten dus dan geldt:
Vergelijking
Vergelijking
Vergelijking
Waarmee de chaos van vergelijking (26) nog wat verder toeneemt:
Vergelijking
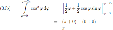
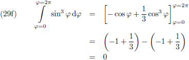
Nu ga ik de eerste integraal oplossen, waarbij ik de integraal van sin3 x opzoek in de tabel met integralen en de integraal van cos3 x zoek ik ook op in de tabel met integralen. Ik neem ze even allemaal apart en ik begin met de integralen die als resultaat nul hebben:
Vergelijking
Vergelijking
Vergelijking
Vergelijking
Vergelijking
Vergelijking
Vergelijking
Dat ruimt lekker op! Ik kan een flink aantal termen overboord gooien:
Vergelijking
De overgebleven termen met φ hebben als resultaat (de integraal van sin2 x zoek ik op in de tabel met integralen en de integraal van cos2 x zoek ik ook op in de tabel met integralen):
Vergelijking
Vergelijking
En de termen zonder φ hebben als resultaat:
Vergelijking
Zodat het uiteindelijke resultaat van de eerste integraal wordt:
Vergelijking
Nu ga ik de tweede integraal oplossen:
Vergelijking
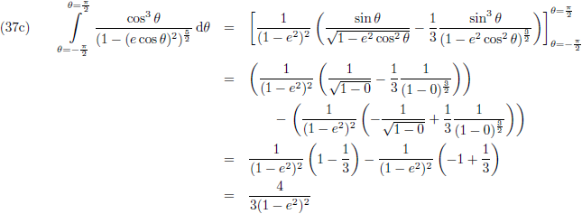
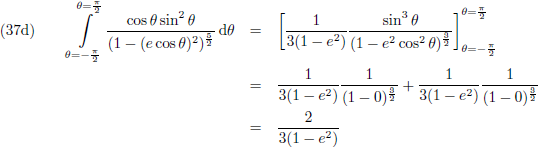
En tenslotte ga ik de derde integraal oplossen, waarbij ik wederom gebruik maak van de tabel met integralen. Ik neem ze weer even allemaal apart en ik begin met de integralen die als resultaat nul hebben:
Vergelijking
Vergelijking
Vergelijking
Vergelijking
Ook dat ruimt lekker op:
Vergelijking
De resterende integralen hebben als resultaat:
Vergelijking
Vergelijking
Vergelijking
Vergelijking
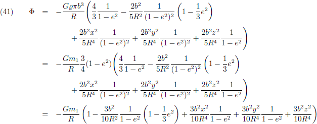
Hiermee bereik ik tenslotte als antwoord:
Vergelijking
Voor het volume van deze sferoïde geldt:
Vergelijking
Hiermee, en met vergelijking (12), ga ik de breuk onder handen nemen die helemaal vooraan staat in het rechterlid van vergelijking (38):
Vergelijking
Zodat vergelijking (38) uiteindelijk deze vorm krijgt:
Vergelijking
Even dit tussendoortje:
Vergelijking
Zodat (41) er nog mooier uit komt te zien:
Vergelijking
Ongelooflijk (bijna) dat na al dit ingewikkelde rekenwerk er een relatief eenvoudige vergelijking overblijft. Wederom de schoonheid van de wiskunde in actie!

Voordat ik de volgende stap neem schrijf ik (43) uit in x, y en z:
Vergelijking
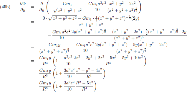
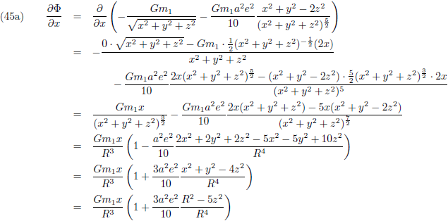
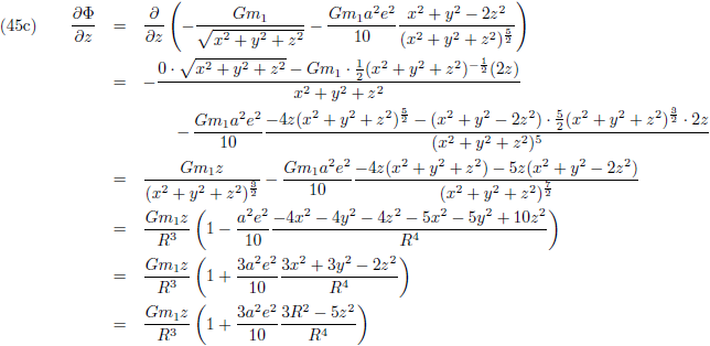
En nu komt het grote voordeel dat ik de potentiaalfunctie heb uitgerekend, want de zwaartekracht die de ster uitoefent in de x-richting, y-richting en z-richting vind ik door vergelijking (44) simpelweg partieel te differentiëren naar x, y en z:
Vergelijking
Vergelijking
Vergelijking
Door deze afgeleiden met m2 te vermenigvuldigen krijg ik krachten:
Vergelijking
Vergelijking
Vergelijking
De totale zwaartekracht die de ster uitoefent op de puntmassa is:
Vergelijking
Ik ga even een paar speciale gevallen onderzoeken. Allereerst beschouw ik het vlak waar de evenaar van de ster zich in bevindt, daar is z = 0:
Vergelijking
De extra term (de rechterterm) is dan positief, dit betekent dat de ster daar meer zwaartekracht uitoefent dan een perfect-ronde ster (met dezelfde massa uiteraard).

Vervolgens beschouw ik de punten precies boven en onder de polen, daar is x = y = 0:
Vergelijking
De extra term is dan negatief, dit betekent dat de ster daar minder zwaartekracht uitoefent dan een perfect-ronde ster (met dezelfde massa).

Waar bevindt zich dan het gebied waar de zwaartekracht ‘normaal’ is? Dat is waar de extra term gelijk is aan nul:
Vergelijking
Dit is een kegel met de top in de oorsprong. Eigenlijk twee kegels, eentje die naar beneden gericht is en eentje die naar boven gericht is, dus een diabolo. Binnen de diabolo is er een fractie minder zwaartekracht, dan wanneer de ster perfect rond zou zijn, en buiten de diabolo is er een fractie meer zwaartekracht.
Grafiek