De zwaartekracht van een homogene ronde ster

Bereken de zwaartekracht die een homogene perfect-ronde ster uitoefent op een andere massa (die voor te stellen is als een puntmassa).

(Credits: NASA)

Om dit vraagstuk wat gemakkelijker tot een goed einde te brengen maak ik een kleine omweg. Ik ga gebruik maken van de potentiaal van het zwaartekrachtveld. De potentiaalfunctie is de integraal van het zwaartekrachtveld, en omgekeerd is het zwaartekrachtveld de afgeleide van de potentiaalfunctie.


Newton

De zwaartekracht die twee massa’s op elkaar uitoefenen wordt beschreven door de gravitatiewet van Newton:

De integraal van het veld is de potentiaalfunctie:
Ik ga nu eerst de potentiaalfunctie bepalen en daarna pas de zwaartekracht die de ster uitoefent (het voordeel van deze werkwijze zal later blijken). Daartoe kiezen we een bepaald x-y-z-assenstelsel en ik plaats het zwaartepunt van de ster in de oorsprong van dit assenstelsel. De ster, met massa m1, oefent zwaartekracht uit op een andere massa, m2, die zich op coördinaten (x, y, z) bevindt. De zwaartepunten van m1 en m2 bevinden zich op een afstand R van elkaar. En omdat het zwaartepunt van m1 zich in de oorsprong bevindt geldt voor R:
Ik ga een infinitesimaal stukje massa van de ster beschouwen, dm1, en dat bevindt zich op de coördinaten (ξ, η, ζ) op een afstand r van de oorsprong. Voor r geldt dus:
Ik ga ervanuit dat r veel kleiner is dan R (r is maximaal de straal van de ster en R is de afstand tot de andere massa, dus dit is een meer dan redelijke aanname). De afstand van het stukje massa dm1 tot (het zwaartepunt van) m2 noem ik s. Voor s geldt dus:
Uit de vergelijkingen (2) en (5) volgt dat ik voor de potentiaalfunctie van het stukje massa dm1 kan schrijven:
De potentiaalfunctie van de totale ster wordt dan:
We hebben te maken met een homogene ster en dan kan ik voor de dichtheid schrijven (hierin is V het totale volume van de ster):
Waaruit volgt:
Door te differentiëren ontstaat:
En dit stop ik in vergelijking (7):
Omdat we te maken hebben met een bol ligt het voor de hand om over te gaan naar bolcoördinaten. Voor een stukje dV geldt dan:
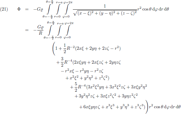
Waarmee vergelijking (11) wordt:
De hoek φ is de hoek die verandert wanneer ik een (hypothetische) wandeling maak over de evenaar en de hoek θ is de hoek die verandert wanneer ik een (wederom hypothetische) wandeling maak van de ene pool naar de andere. Ik kan daarom de volgende integratiegrenzen invullen (a is de straal van de ster):
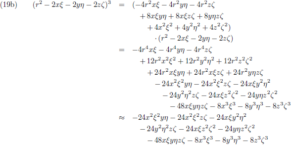
Ik ga de term 1/s, de breuk in de integraal hierboven, even apart onder handen nemen en om te beginnen werk ik de haakjes weg:
Met behulp van de vergelijkingen (3) en (4) wordt dit:

Taylor

De volgende stap is om dit te ontwikkelen in een Taylor-reeks. In de tabel met Taylor-reeksen vinden we:

Hiermee komt vergelijking (16) er als volgt uit te zien:
Ik dien mij hier even te bezinnen, want het aantal termen dat ik meepak is bepalend voor de nauwkeurigheid die ik kan bereiken. De verhouding rmax/R is voor de Zon en de planeet die daar het dichtst bij staat, Mercurius, ongeveer 7 ∙ 105/58 ∙ 106 = 0.012. Indien ik alle termen tot en met de derde orde meeneem, en alle hogere orde termen verwaarloos, dan zit ik maximaal ongeveer 0.0124 verkeerd en dat is ruim minder dan 10−7. Dat lijkt me ruimschoots voldoende.

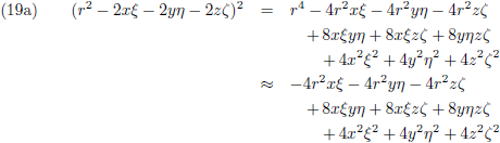
Nu komt de boeiende taak om de haakjes weg te werken. Ik doe dat apart voor alle tellers, en combinaties van r-ξ-η-ζ neem ik dus mee tot en met de derde orde:

Hiermee gaat vergelijking (18) over in deze puinhoop:
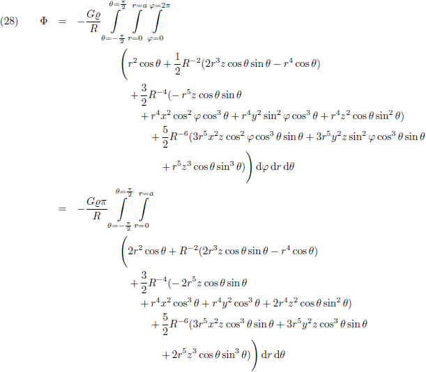
En dit stop ik weer terug in de integraal van vergelijking (14):
Nu moet ik ξ, η en ζ nog uitdrukken in r, φ en θ. Ik werk in bolcoördinaten dus dan geldt:


Waarmee de chaos van vergelijking (21) nog wat verder toeneemt:
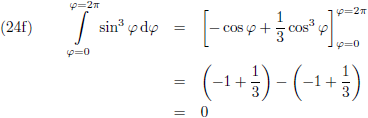
Nu ga ik de eerste integraal oplossen, waarbij ik de integraal van sin3 x opzoek in de tabel met integralen en de integraal van cos3 x zoek ik ook op in de tabel met integralen. Ik neem ze even allemaal apart en ik begin met de integralen die als resultaat nul hebben:






Dat ruimt lekker op! Ik kan een flink aantal termen overboord gooien:
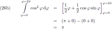
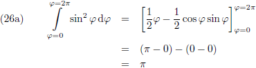
De overgebleven termen met φ hebben als resultaat (de integraal van sin2 x zoek ik op in de tabel met integralen en de integraal van cos2 x zoek ik ook op in de tabel met integralen):

En de termen zonder φ hebben als resultaat:
Zodat het uiteindelijke resultaat van de eerste integraal wordt:
Nu ga ik de tweede integraal oplossen:
En tenslotte ga ik de derde integraal oplossen. Ik neem ze weer even allemaal apart en ik begin met de integralen die als resultaat nul hebben:


Ook dat ruimt lekker op:
De resterende integralen hebben als resultaat (de integraal van cos3 x zoek ik op in de tabel met integralen):


Hiermee bereik ik tenslotte als antwoord:
Voor het volume van een bol geldt:
Hetgeen mij bij het eindresultaat brengt:
Dit is uiteraard niets meer of minder dan vergelijking (2), en die is weer rechtstreeks afgeleid van vergelijking (1), de gravitatiewet van Newton, niets bijzonders (want het betreft een perfect-ronde ster). Wanneer we echter te maken hebben met een ster die licht afgeplat is aan de polen dan wordt de situatie ineens een heel stuk gecompliceerder. Dit vraagstuk was slechts een opwarmertje voor het echte werk (de afgeplatte ster) die op deze pagina aan de orde komt.