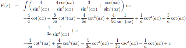
De integraal van
f (x) = 1/(1 + cos (ax))3
Trefwoorden/keywords: integraal/integral, integreren/integrate, f (x) = 1/(1 + cos (ax))3

De grafiek van f (x) = 1/(1 + cos (ax))3 voor a = 1 (de rode lijn),
a = 2 (de groene lijn) en a = 3 (de blauwe lijn)

De grafiek van F (x) voor a = 1 (de rode lijn),
a = 2 (de groene lijn) en a = 3 (de blauwe lijn), c = 0
Naar de volgende integraal: de integraal van
Naar de vorige integraal: de integraal van
Tabel met integralen
Tabel met afgeleiden
Tabel met Taylor-reeksen
Differentiëren
Integreren
De integraal van
De integraal van
De integraal van
De integraal van
De integralen van
De integralen van
Vectoren, vraagstuk 15
Vectoren, vraagstuk 60
Vraagstukken xref voor de UT
De Taylor-reeks van
De Taylor-reeks van
De stelling van Gauss
Faculteiten
Holomorfie van de functie
Relativiteitstheorie basic, hoofdstuk 2: de lichtsnelheid
Fouten in het oorspronkelijke artikel over de algemene relativiteitstheorie
De relativistische rotatie-energie van een massieve bol
De integraal van
De Witte Dag
De integraal van
De cycloïde
De minimale straal van een holle bol
Een planeettijdreismachine
De integralen van
Gravitationele rood-/blauwverschuiving
Getijdenkrachten
Zijn wij vroeg of laat?
Overzichtspagina wiskunde
Overzichtspagina natuurkunde
Overzichtspagina filosofie
Doneer enkele euro’s
Wetenschappelijke boeken te koop
Lezingen