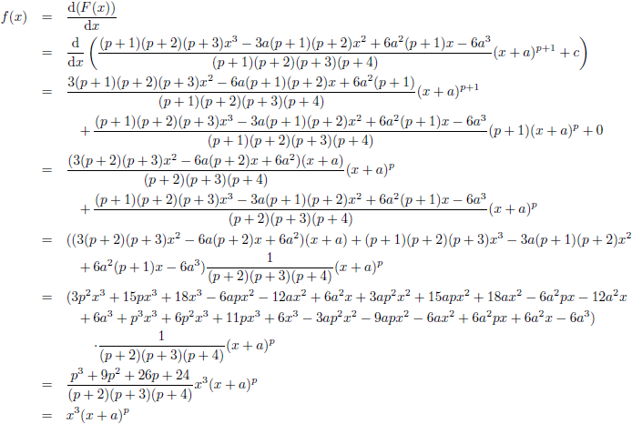
De integraal van
f (x) = x3 (x + a)p
Trefwoorden/keywords: integraal/integral, integreren/integrate, f (x) = x3 (x + a)p

De grafiek van f (x) = x3 (x + a)p voor a = 1 (de rode lijn),
a = 2 (de groene lijn) en a = 3 (de blauwe lijn), p = 3

De grafiek van F (x) voor a = 1 (de rode lijn),
a = 2 (de groene lijn) en a = 3 (de blauwe lijn), c = 0, p = 3
Naar de volgende integraal: de integraal van
Naar de vorige integraal: de integraal van
Tabel met integralen
Tabel met afgeleiden
Tabel met Taylor-reeksen
Differentiëren
Integreren
De integraal van
De integraal van
De integraal van
De integraal van
De integralen van
De integralen van
Vectoren, vraagstuk 26
Vectoren, vraagstuk 71
De covariante metrische tensor naar contravariant en vice versa
De Taylor-reeks van
Tabellen met Taylor-reeksen
Het touw om de Maan
De gammafunctie
Holomorfie van de functie
Relativiteitstheorie rekenkundig, hoofdstuk 4: de zaklamp
De vrouw en haar spiegel
Lineariteit van de Lorentz-transformaties
De integraal van
De Witte Dag
De integraal van
De cycloïde
De minimale straal van een holle bol
Een planeettijdreismachine
De integralen van
Gravitationele rood-/blauwverschuiving
Getijdenkrachten
Zijn wij vroeg of laat?
Overzichtspagina wiskunde
Overzichtspagina natuurkunde
Overzichtspagina filosofie
Doneer enkele euro’s
Wetenschappelijke boeken te koop
Lezingen